Alaşımda Heterojen Katalitik Koşullar Altında N-Heterosikliklerin Direkt Alkilasyonu
- URL Kopyalandı
Giriş
Akış reaktörleri, yeni uygulamalara erişmek için kimyasal alanı genişletmek amacıyla yüksek sıcaklık ve yüksek basınç kimyasını gerçekleştirmek için kullanılmaya başlanmıştır. Ayrıca, ikamet süresi ve diğer reaksiyon parametrelerini hassas bir şekilde kontrol etme yeteneği, mevcut dönüşümler için daha yüksek verimler ve ayarlanabilir seçicilik değerleri sağlar. Bunun yanı sıra, yüksek sıcaklık ve basınç ortamlarının kullanılması, yüksek kaynama noktalarına sahip çözücülere olan ihtiyacı ortadan kaldırarak işleme sürecini daha hızlı, daha yeşil ve ekonomik açıdan daha dost bir hale getirir.
Bu uygulama notunda, ilaç kimyasındaki en sık kullanılan sentetik reaksiyon türlerinden biri olan C-C çapraz bağlama yöntemlerine alternatif olarak tanımlanan N-heterosikliklerin direkt alkilasyonundan elde edilen sonuçları sunarak Phoenix Flow Reactor™’ün çok yönlülüğünü gösteriyoruz.
Cihazlar
Phoenix Flow Reactor™ , 450 ºC’ye kadar sıcaklık ve 200 bar’a kadar basınçta çalışabilen, hem homojen hem de heterojen katalitik reaksiyonları gerçekleştirmek için reaksiyon döngüleri ve dolgu kolonlarını işleyebilen çok yönlü bir yüksek sıcaklık ve basınç akış reaktörüdür.
En sık olarak, 200 bar’a kadar reaksiyonları kolaylaştırmak için bir HPLC pompası ve basınç regülatörü ile birleştirilen modüler bir akış birimi olarak kullanılır. Alternatif olarak, gerekli geri basıncı sağlamak için bir H-Cube Pro™ sistemi ile bağlantı kurulabilir (100 bar). Aşağıdaki örnekte, biz bu son yapılandırmayı kullanmış bulunmaktayız. Phoenix Flow Reactor™’ün gerçek reaktör alanı dışında, bir diğer önemli parçası ise Isı Değiştirici’dir. Bu bileşen, ürün karışımından ısıyı reaksiyon hattına verimli bir şekilde transfer ederken, aynı zamanda karışımı soğutarak sistemin ölü hacmini minimize eder ve ürün toplama işlemini neredeyse oda sıcaklığında maksimum verimlilikle gerçekleştirir.

Şekil 1. Sistemin şematik diyagramı

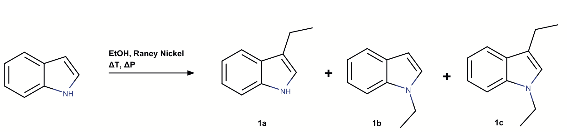
Şekil 2. İndollerin yüksek sıcaklıkta C-H aktivasyonu doğrudan alkilasyona doğru
Amaç
İndolün (3. pozisyonda) bölgesel seçici alkilasyonunu, heteroaromatik halkaların C-H aktivasyonu için sürekli akışta bir model reaksiyon olarak seçtik. Sonuçlarımız gösteriyor ki, Phoenix Flow Reactor™’ü yüksek sıcaklık ve yüksek basınç koşullarında kullanmak, doğrudan C-C bağ oluşumu için uygulanabilir bir alternatif sunuyor. Bu, endüstride yaygın olarak kullanılan tipik çok adımlı reaksiyonlara kıyasla potansiyel olarak “daha çevreci” bir çözüm (daha az atık üretimi, değerli olmayan metal katalizör) olabilir.
Deney
Katalizör yatağı, Raney® Nikel ile doldurulduktan sonra damıtılmış su ile yıkandı. Basınç (100 bar) ve sıcaklık (200–300 °C), su ile ayarlandıktan sonra, girişten etanol eklenerek değiştirildi; etanol, doğrudan alkilasyon ajanı olarak kullanıldı. İndol, etanolda (0.1 M) çözündü ve reaktörden (0.5–1.5 mL/dakika) pompalanarak geçirildi. Hesaplanan ölü hacmin yarı zamanından sonra fraksiyonlar toplandı. Başlangıç çözeltisinin tamamı kullanıldıktan sonra, sistem saf alkol ile yıkandı ve TLC (F254 silika plakası ile 254 nm UV’de) ile reaktanın izleri gözlemlenene kadar bu işlem devam etti. Dönüşüm ve seçicilik değerleri GC/MS ile belirlendi ve ürünler saflaştırıldıktan ve izole edildikten sonra, daha fazla karakterizasyon için NMR kullanıldı. Ek detaylar, yakın zamanda yayımladığımız makalemizde bulunmaktadır.
Sonuç
Seçilen bir indol etilasyonu örneğiyle, yaygın çapraz bağlama reaksiyonlarının alkile heterosiklik bileşiklere karşı önemli ölçüde verimli bir şekilde nasıl yerine geçtiğini göstermiş olduk. Phoenix Flow ReactorTM’de gerçekleştirilen doğrudan dönüşüm, sadece kısa reaksiyon süreleri ve yüksek atom ekonomisi ile sınırlı kalmaz, aynı zamanda organometalikler ve diğer değerli metallere kıyasla maliyet etkin bir katalizör yükü ile çalışmaktadır. 24 saatlik uzunluk ölçümleri, dönüşümde (93%) gözlemlenen minimum bir azalma ile sonuçlanmış olup, bu da uygulanan akış sürecini daha da desteklemektedir.

Şekil 3. İndol etilasyonu için seçilen parametreler ve gözlenen sonuçlar
Kaynak: ThalesNano